quarta-feira, 31 de outubro de 2012

A SUA CASA TEM O VALOR PATRIMONIAL TRIBUTÁRIO CORRECTO?


A Deco Proteste lançou um simulador para saber se têm ou não falhas as avaliações feitas pelas finanças para definir o valor tributário dos imóveis fundamental para definir o IMI a pagar pelos contribuintes.

Há algumas semanas a associação de consumidores revelou que há factores importantes para as contas que não são automaticamente actualizados pelo fisco, bem como que já encontrou erros em algumas das reavaliações feitas este ano pelas finanças ao valor patrimonial dos imóveis.

O problema é que pedir a reavaliação do imóvel custa 204 euros, dinheiro que só é devolvido se o contribuinte tiver razão na queixa. Para ajudar as fazer as contas, a Deco Proteste lançou agora um simulador.

À TSF, Joaquim Rodrigues da Silva, da Deco Proteste, sublinha que este simulador dá uma garantia adicional ao contribuinte para ter a certeza se tem ou não razão e receber de volta os 204 euros pagos para pedir a reavaliação.

A associação de consumidores tem aconselhado muita atenção aos contribuintes que estão a receber as reavaliações e acrescenta que, na maioria dos casos, quem teve uma avaliação de 2005 a 2008 deve ir às finanças pedir uma actualização do valor do imóvel.


segunda-feira, 22 de outubro de 2012

COEFICIENTE DE AJUSTAMENTO DE ÁREAS-CIMI

O cálculo da área bruta total de construção é o principal parâmetro de cálculo do Método Imi, sendo a área   contabilizável para o cálculo do valor      patrimonial tributário    regressiva em relação à área real , para superfícies acima da média.

Caj - Coeficiente de ajustamento de áreas:


1 - Para os prédios cuja afectação seja a habitação, o coeficiente de ajustamento de áreas (Caj) é aplicado à área bruta privativa e dependente e é variável em função dos escalões de área, de acordo com a seguinte tabela e com base nas seguintes fórmulas:


2 - Para os prédios cujas afectações sejam o comércio ou os serviços, o coeficiente de ajustamento de áreas (Caj) é  aplicado às áreas brutas privativa e dependente e é variável em função dos escalões de área, seguindo a mesma metodologia de cálculo do n.º 1, de acordo com a seguinte tabela:


3 - Para os prédios cuja afectação seja a indústria, o coeficiente de ajustamento de áreas (Caj) é aplicado às áreas brutas privativa e dependente e é variável em função dos escalões de área, seguindo a mesma metodologia de cálculo do n.º 1, de acordo com a seguinte tabela:

4 - Para os prédios cuja afectação seja a de estacionamento coberto, individual ou colectivo, fechado ou aberto, o coeficiente de ajustamento de áreas (Caj) é aplicado às áreas brutas privativa e dependente e é variável em função dos escalões de área, seguindo a mesma metodologia de cálculo do n.º 1, de acordo com a seguinte tabela:


5 - Nos terrenos para construção, o coeficiente de ajustamento de áreas (Caj) é aplicado às edificações autorizadas ou previstas, de acordo com as seguintes regras:

a) Quando existir apenas uma afectação, aplica-se a tabela correspondente;
b) Quando existir mais de uma afectação, com discriminação de área, aplica-se a tabela correspondente a cada uma das afectações;
c) Quando existir mais de uma afectação e não seja possível estabelecer a discriminação referida na alínea anterior, aplica-se a tabela da afectação economicamente dominante.

quinta-feira, 18 de outubro de 2012

CONGRESSO CONSTRUÇÃO 2012


APRESENTAÇÃO
Em 2012, a Universidade de Coimbra, através do Departamento de Engenharia Civil e do Centro de Investigação em Ciências da Construção, acolhe e organiza o Congresso Nacional da Construção – 2012, evento que adquiriu já o seu espaço próprio no contexto da troca de experiências, divulgação da investigação e reflexão sobre os sempre crescentes desafios do sector da construção em Portugal. Nas edições anteriores, realizadas em 2001, 2004 e 2007, respectivamente em Lisboa, Porto e Coimbra, verificou-se um elevado nível de adesão e resultados significativos para a construção progressiva de uma consciência colectiva do sector, em torno das novas tecnologias, dos novos materiais e modelos de gestão e de projecto, mas também dos desafios da construção sustentável e da valorização do património construído.

Existem, por isso, todos os motivos para acreditarmos que este modelo de partilha e reflexão sobre o sector da construção é uma mais-valia a retomar periodicamente e, desta vez, em 2012, em Coimbra. Como já aqui dissemos antes, vamos estar presentes na Sessão Técnica  "Gestão e Economia da Construção " , com uma comunicação sobre " Avaliação Imobiliária em Massa - Método para Determinação do Valor da Localização." . Oportunamente publicaremos esse trabalho.


SESSÕES TEMÁTICAS ORGANIZADAS
  • ST01 • Acústica do Ambiente Construído
    Orgs.: Julieta António
  • ST02 • Argamassas Sustentáveis para a Reabilitação do Património Construído
    Orgs.: Isabel Torres e Paulina Faria
  • ST03 • BIM (Building Information Models)
    Orgs.: Nuno Cachadinha
  • ST04 • Comportamento Sísmico de Edifícios e Elementos de Construção
    Orgs.: Luís Godinho e Humberto Varum
  • ST05 • Comportamento Térmico da Envolvente de Edifícios
    Orgs.: Nuno Simões
  • ST06 • Inspecção, Diagnóstico, Conservação e Reabilitação de Edifícios
    Orgs.: João Lanzinha
  • ST07 • Materiais de Construção e Sustentabilidade
    Orgs.: José Barroso Aguiar e Victor Ferreira
  • ST08 • Modelos de Simulação em Acústica
    Orgs.: António Tadeu
  • ST09 • Patologia e Reabilitação
    Orgs.: Fernando Pinho e António Pinho Ramos
  • ST10 • Reabilitação de Edifícios Antigos
    Orgs.: Isabel Torres, Raimundo Mendes da Silva e Romeu Vicente
  • ST11 • Reabilitação do Património Arquitectónico
    Orgs.: Rui Póvoas
  • ST12 • Gestão e Economia da Construção
    Orgs.: José Cardoso Teixeira
  • ST13 • Sistemas de Informação e Gestão da Construção
    Orgs.: Hipólito de Sousa - Grupo GEQUALTEC
  • ST14 • Novas Perspectivas para a Aplicação de Betões
    Orgs.: Teresa Pinheiro-Alves e Bettencourt Ribeiro
  • ST15 • Reabilitação, Ambiente Interior, Conforto e Energia
    Orgs.: Carlos Pina Santos
  • ST16 • Contributos das Construções Antigas para a Construção Sustentável
    Orgs.: Anabela Paiva e Sandra Pereira
  • ST17 • Sistemas Solares Passivos
    Orgs.: Anabela Paiva e Ana Briga de Sá
  • ST18 • Requalificação Funcional de Edifícios 
    Orgs.: Andreia Pereira, Diogo Mateus
  • ST19 • Avaliação da Sustentabilidade da Construção
    Orgs.: Luís Bragança, Ricardo Mateus

INSCRIÇÕES

terça-feira, 16 de outubro de 2012

IMI - COMO PEDIR UMA REAVALIAÇÃO


O fisco está a proceder, até ao final do ano, à reavaliação de mais de cinco milhões de imóveis que não foram vendidos depois de 1 de Dezembro de 2003 para efeitos do Imposto Municipal sobre Imóveis (IMI). Isto significa que vamos assistir a uma maior carga fiscal sobre os prédios urbanos. A Associação Nacional de Proprietários  alertou para algumas situações que vão originar “revolta” em muitos casos porque há inúmeras situações em que a carga fiscal vai quintuplicar.

A verdade é que a reavaliação vai conduzir, em regra geral, a um aumento dos valores patrimoniais. A razão é simples: esta incide sobre casas, lojas, terrenos e prédios registados há vários anos – em alguns casos, há décadas – e, por isso mesmo, o valor nunca foi revisto de forma rigorosa, estando, como tal, desajustada da realidade.

O que é certo é que os proprietários não são obrigados a “baixar os braços” e a aceitar o novo valor que é atribuído pela Administração Tributária. Os senhorios podem pedir uma reavaliação do imóvel. Esse pedido terá de ser feito no prazo de 30 dias a contar da data de notificação, mas tem um custo: 204 euros que só serão devolvidos caso o contribuinte tenha razão. “Se a nova avaliação for desfavorável, ou seja, resultar no mesmo valor patrimonial tributário ou superior, não terá direito à devolução”.

Para reclamar, deverá dirigir-se às Finanças e levar vários meios de prova. É o caso, por exemplo, de plantas, anúncios de venda de casas idênticas, documentos de imobiliárias ou avaliações. A partir daí, o fisco tem até 60 dias para analisar o caso e enviar uma notificação com o novo valor patrimonial. Se o proprietário, mais uma vez, não concordar, terá de avançar para uma impugnação judicial.

A segunda avaliação de um prédio pode ser impugnada com fundamento em qualquer ilegalidade, designadamente a errónea quantificação do valor patrimonial tributário do prédio. A impugnação não tem efeito suspensivo, pelo que o IMI continua a ser devido até à resolução da impugnação alerta o site da Administração Geral Tributária.

Não se esqueça, no entanto, que dois apartamentos no mesmo prédio e com a mesma tipologia não são obrigados a ter o mesmo valor patrimonial tributário (VPT). “Basta, por exemplo, que a exposição solar ou a vista de um deles seja considerada melhor para haver uma diferença de valores.

NOTIFICAÇÃO
No momento em que receberem a notificação, os contribuintes devem verificar se os dados do imóvel estão correctos. “O fisco também se pode enganar e, a verdade é que um pequeno erro, por exemplo, no cálculo da área total (como sabemos já ter acontecido) pode significar uma diferença substancial no valor do IMI”. Outro dado que deve confirmar é o coeficiente de localização. Para isso, pode utilizar os dados disponíveis no site das Finanças. “Se detectar um erro, não deixe passar o prazo de 30 dias para reclamar. Caso contrário, só passados três anos poderá pedir uma nova reavaliação”. Mais uma vez, este pedido custa 204 euros, verba essa que só será devolvida caso o proprietário tenha razão. Neste caso, o processo é idêntico à segunda reavaliação e, como tal, terá de se dirigir às repartições de finanças para reclamar.

EXCEPÇÕES
Quem tem uma casa posterior a Dezembro de 2003 “escapa” a esta reavaliação geral do património, pois os proprietários já estão a pagar segundo as novas regras. Mesmo assim, a Deco afirma que é possível seguir alguns truques para poupar algum dinheiro no IMI.

Para isso, terá de pedir uma atualização dos valores que constam na caderneta predial. Para já, o pedido é gratuito e só pode ser feito se passarem, pelo menos, três anos depois da última avaliação. “Se, feita a nova avaliação, não concordar com o valor atribuído, pode requerer uma segunda avaliação no prazo de 30 dias a contar da data de notificação, mas terá de pagar entre 765 e 3060 euros.

Isto porque há parâmetros no cálculo do imposto que não são atualizados automaticamente. É nesses que é possível poupar. O valor de construção é uma das parcelas que mais pesa no valor tributário, pois reflete o preço do terreno no ano da construção. “O valor do metro quadrado foi inflacionado até atingir 615 euros, em 2006. Depois, para responder à crise no mercado imobiliário, o fisco começou a descê-lo até este estabilizar nos 603 euros em 2010. Por exemplo, se a casa foi avaliada entre 2006 e 2008, o valor de construção para efeitos fiscais é de 615 euros por metro quadrado. Logo, se pedir a atualização desse critério, pagará menos imposto.

A idade do imóvel, medida pelo coeficiente de vetustez, também é usada para apurar o valor patrimonial. Tem em conta o número de anos completos desde a data da licença de utilização ou da data de conclusão das obras de edificação e vai diminuindo em função da antiguidade do imóvel. Mas, como também não é actualizada automaticamente, o coeficiente estará incorrecto. Há casos em que os proprietários, utilizando esta informação, conseguiram baixar mais de cem euros à sua factura anual de IMI. Antes de reclamar poderá sempre consultar um avaliador profissional, talvez seja isso que deva fazer primeiro.

Saiba como funciona avaliação dos imóveis

Quem faz essa avaliação?
O fisco e para determinar o valor patrimonial tributário (VPT), as finanças contam com uma equipa de técnicos (alguns contratados especificamente para esta tarefa) e com a colaboração das câmaras municipais.

Como é feito o processo?
O fisco recorre a várias fontes de informação. Visitas ao local, consulta de plantas de arquitectura e também, entre outras, à verificação do VPT atribuído às casas que, num mesmo prédio, já tenham sido avaliadas segundo o IMI (porque foram transaccionadas após Dezembro de 2003). 

Vai pagar mais IMI?
A probabilidade é grande, tudo depende da localização, área de construção, idade ou até do chamado índice de conforto do imóvel. Se da avaliação resultar uma subida significativa do VPT, a factura do IMI vai subir porque o acréscimo do valor anulará o efeito da descida da taxa.

Quando começa o IMI a incidir sobre o novo VPT?
A partir do próximo ano.

Qual é o prazo para pagar?
É pago anualmente, através de um documento único de cobrança durante o mês de Abril, ou se o valor do IMI for superior a 250 euros, em duas prestações durante os meses de Abril e de Setembro. Os documentos de cobrança emitidos fora do prazo normal de liquidação são pagos até ao fim do mês seguinte ao da notificação. Só os documentos de cobrança relativos a dois ou mais anos, de montante superior a 250 euros são pagos com intervalos de seis meses.  

domingo, 14 de outubro de 2012

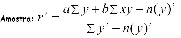
COEFIC. DETERMINAÇÃO - ANÁLISE ESTATÍSTICA


O que se pretende é explicar o mercado com base numa amostra, recorrendo à inferência estatística como procedimento de análise e interpretação de modelos e resultados da regressão.

Neste caso a inferência estatística é fundamental, permitindo, a partir da amostra, concluir sobre o comportamento geral do mercado, com determinado grau de confiança, a partir de medidas estatísticas como:
Coeficiente de Determinação
O quadrado do coeficiente de correlação, indica o poder de explicação do modelo. 
O coeficiente de determinação é variável de  0 a 1 e a sua notação é a letra r elevada ao quadrado.

            R = r²

Indica em que percentagem a variável explicada é devida às variáveis explicativas

sexta-feira, 12 de outubro de 2012

FUNDOS DE REABILITAÇÃO URBANA


"Está em preparação um novo fundo de investimento imobiliário (FII) para reabilitação urbana para intervir no centro da cidade de Leiria. O fundo está a ser preparado pela Fundbox em parceria com investidores privados e com o apoio da autarquia, e a ideia é replicar o modelo que a sociedade gestora lançou em Coimbra, com fundo Coimbra Viva I. De acordo com informação avançada na imprensa regional, os proprietários do edifício O Paço, onde está instalada uma loja Zara, estão a trabalhar com a Fundbox com vista à criação do novo fundo, que englobará capitais públicos e privados. Um processo que já estará a decorrer há dois meses, e que prevê uma candidatura ao programa JESSICA.

Citado pelo jornal Região de Leiria Online, João Safara, vogal da comissão executiva da Fundbox, disse que a sociedade gestora está neste momento a analisar “o melhor modelo financeiro, tencionando colocar o dossiê para aprovação a curto prazo”"


O investimento em Imobiliário é, tradicionalmente, uma forma segura de investimento, capaz de gerar retornos estáveis ao longo do tempo e acompanhar a evolução da inflação.

Provavelmente nos próximos tempos iremos assistir à formação de Fundos Imobiliários deste género, como forma de gestão e recuperação urbana com constituição de sociedade gestoras de capitais mistos, com parceiros com experiência no desenvolvimento e gestão de fundos imobiliários que disponibilizem aos seus clientes a possibilidade de investimento em fundos imobiliários temáticos ou fundos específicos feitos à medida das suas necessidades.

Os fundos de investimento imobiliário surgiram em Portugal na década de 80 com o objetivo de possibilitar aos pequenos aforradores o acesso a investimentos imobiliários, que pela sua natureza, exigem elevados recursos financeiros.

Com a revisão da legislação dos fundos imobiliários (DL 60/2002 e alterações posteriores), o Governo tornou os fundos imobiliários um veículo mais eficiente e flexíveis de captação de investimento para o sector imobiliário. Os fundos possuem uma série de benefícios fiscais, quer ao nível da tributação dos rendimentos dos fundos, quer na distribuição de rendimentos aos participantes  e serão um excelente veículo financeiro para a reabilitação urbana.

quarta-feira, 10 de outubro de 2012

IMI, E O MERCADO DE ARRENDAMENTO?


De acordo com as contas da APEMIP, as receitas dos impostos sobre os imóveis passaram de 605 milhões de euros em 2002, ano anterior à implementação do IMI, que substituiu a contribuição autárquica, para 1.160 milhões de euros no ano passado, o que representou um aumento de 90 por cento. 

Com o novo aumento, acrescentou, "Portugal passa a ser o país da Europa onde o património mais é taxado", alertando para a consequente destruição do mercado de arrendamento. 

"Vai destruir completamente o mercado de arrendamento, porque não vejo nenhum investidor com uma taxa destas a investir no mercado de arrendamento", acrescentou. 

Luís Lima alertou ainda para a falta de condições da Justiça e das Finanças para dar seguimento "à quantidade de processos", resultante do incumprimento das famílias. 

"O Governo deve ter noção até onde pode ir e não pensar que o imobiliário é a árvore das patacas, porque neste momento já não tem nada", declarou.

Fonte:http://www.jornaldenegocios.pt/home.php?template=SHOWNEWS_V2&id=583241

terça-feira, 9 de outubro de 2012

CÂMARAS DEVEM REPUDIAR TAXAS MÁXIMAS


 “Não deixarei de fazer um apelo para que as Câmaras apliquem as taxas do IMI o mais baixo possível, por forma a aliviar a carga fiscal aos cidadãos, mesmo que para tanto se adiem obras menos necessárias. A MELHOR FORMA DE UM MUNICÍPIO AJUDAR OS MUNCÍPES É REDUZIR OS IMPOSTOS E TAXAS MUNICIPAIS.” Fernando Costa, Pres. C.M. Caldas da Rainha, SCn., 10.11.2012

Entretanto estão em avaliação até ao final do ano cerca de 5,3 milhões de fogos.

Trata-se de uma receita municipal. O valor patrimonial tributário é um postulado. Os Órgãos de Soberania postulam como é calculado, com regras jurídicas cautelarmente complexas, às vezes enviesadas, muitas vezes vagas. O Decreto-Lei 287/2003 já vai na 20ª (vigésima) alteração. As dúvidas entre os próprios especialistas exigem "Circulares" de interpretação. A “Troika” quer certezas. A soma dos valores patrimoniais tem de produzir, pelo menos, mais cento e cinquenta milhões de euros de imposto por ano, face a anos transactos. Facilmente se estima que produzirá cerca de dez vezes mais.

Em 2015, quando já não houver o limite máximo de subida de setenta e cinco euros por contribuinte, (que a proposta de OE para 2013, pretende suspender) a APAE- Associação Portuguesa de Avaliações de Engenharia, contas feitas, estima um acréscimo de 128% face aos mil e cem milhões de euros de receita anual, que prevê para 2012. Ou seja mais de 2,3 mil milhões anuais.

O Governo porfia em provar que vai além da “Troika”. Só não diz quantos milhões, dezenas ou centenas de milhões pensa colher a mais, dos (pseudo) proprietários das casas. Ao olharmos para os colossais milhões da dívida das autarquias, recentemente revelados, com benevolência somos levados a pensar que o melhor será o Governo criar mais uma almofada. Quem paga mais trinta euros também paga mais sessenta. Ou mais cem.

Cinco milhões de imóveis, a uma média de duzentos euros por ano, rendem aproximadamente mil milhões de euros. Já pagam parte dos juros anuais para os credores. Um ano para fazer a Avaliação Geral. Claro que aumentar o valor patrimonial, quando o valor de mercado está em queda é uma contradição. Proudhon dizia que a propriedade é um roubo – exceto as pequenas casas, como a dele próprio. Na aldeia diz-se que quem rouba a ladrão tem cem anos de perdão.

O valor patrimonial tributário tem impacto relevante sobre famílias e empresas. O "Estado Novo" baseou o imposto imobiliário no rendimento, e bem!. Aquando da grande reforma fiscal a criação do Imposto Único, unificou todos, menos um: o imposto sobre imóveis. Procedeu-se então a uma mudança ideológica estrutural: o imposto passou a ser sobre o valor patrimonial e não sobre o rendimento, como devia. Logo decidiu-se que seria suportado pelo proprietário, tenha ou não rendimento do prédio.

A justificação técnica e moral foi simples: é justo que o município seja ressarcido dos custos que suporta com os prédios, tais como iluminação, escolas, ruas, água, etc. A deformação ideológica assentou, assim, numa contradição: a grande maioria dos serviços municipais é prestada não ao proprietário, quanto tal, mas ao utente (inquilino ou proprietário). Os prédios não produzem esgotos nem bebem água ou vão ao jardim. Nem usam transportes. Os utentes, sim. E as infra-estruturas são sempre pré-custeadas pelo promotor, em obras e taxas a que obriga o licenciamento.Para o resto já se pagam taxas!

Estas medidas provocarão aumentos brutais do imposto (três, quatro vezes ou mesmo mais sobre o valor pago no antecedente)! Mas afinal esta não é uma nova medida de austeridade! O IMI existe desde 2003  e tem sido pago, só por muitos poucos. O alargamento da base tributária para todo o universo edificado, gerará receitas absolutamente extraordinárias para as Autarquias, pelo que será desejável e expectável uma descida significativa das taxas de incidência, a aplicar.

Apesar de anunciado um regime especial de proteção às famílias de mais baixos recursos, a verdade é que a maioria dos proprietários, em muitos concelhos com autarcas em aflição financeira  vão ter no IMI uma oportunidade de recuperação  e vão confrontar sem pudor, os munícipes com valores simplesmente insuportáveis e imorais.

"A luta contra a desproporcionalidade ou mesmo o arbítrio dos impostos foi sempre a base das iniciativas vitoriosas dos avanços políticos do povo (democracia), mesmo antes, muito provavelmente, da Magna Carta, imposta a João Sem Terra. E parece-me evidente ser a hora, mais uma vez que o "soberano" está de calças na mão, para lhe ganhar maior controlo sobre a arrecadação fiscal ou para a regatear contra maiores liberdades, contra a burocracia e por uma "vida boa", colectiva e pessoal, nas famílias ou solta de todo das "polícias", na feliz acessão anglo-saxónica de dispositivos socioeconómicos de controlo e vigilância." António Carvalho, 2011 (Juiz Conselheiro do Tribunal de Contas)

As Câmaras devem repudiar as taxas máximas e aplicar taxas significativamente  inferior a essas, se possível, em ordem a atenuar a monstruosidade da carga fiscal sobre os seus residentes. É o mínimo que se espera daqueles representantes dos cidadãos!

quinta-feira, 4 de outubro de 2012

O IMI JÁ NÃO É UM IMPOSTO, É UMA RENDA

Oiça a voz e comentário de Sidónio Pardal, urbanista e especialista em tributação do património, a propósito da reavaliação dos imóveis urbanos para efeitos de Imposto Municipal sobre Imóveis.


23:57 Quinta feira, 4 de outubro de 2012


Ler mais: http://expresso.sapo.pt/o-imi-ja-nao-e-um-imposto-e-uma-renda=f757974#ixzz28Nm8N4JL


Eu direi ainda que este comentário remete-nos para a pertinência de se atender nesta tributação ao rendimento intrínseco da propriedade e não ao valor comercial.

MAIS RENDAS, MENOS VENDAS

O mercado de arrendamento de habitações em Portugal continua em alta face ao mercado      de compra e venda. Segundo dados avançados pelo  Confidencial Imobiliário,  agosto não foi diferente de meses   anteriores e    as vendas  continuam a perder para os arrendamentos.


O ritmo de procura de casas para arrendar foi mais reduzido em agosto, mas as expectativas continuam positivas. Segundo o Confidencial imobiliário, este mercado continua a beneficiar das quebras nas vendas e pela limitação no acesso ao crédito para a compra de casa, restrição essa que leva as famílias a optar, muitas vezes, pelo arrendamento.

O valor pago pelas famílias tem contudo diminuído e as expectativas quanto à sua evolução são negativas - motivado pela grande oferta do mercado e menos rendimentos disponíveis.

Quanto à compra e venda de habitações, a palavra utilizada pelo Portuguese Housing Market Survey é fragilidade. Tanto as expectativas como a própria atividade se mantêm pouco consistentes, com os preços a cairem bem como o número de transações. 

terça-feira, 2 de outubro de 2012

ÁREA BRUTA, PARÂMETROS


O valor de cada um dos parâmetros ou fatores que constituem a fórmula geral, é muitas vezes variável em função de aspetos circunstanciais que se descreverão em postagens  a seguir.

A área bruta de construção + área excedente à área de implantação resulta da seguinte expressão (Artº 40º Do CIMI):

A = (Aa + Ab)xCaj + Ac + Ad

em que:
Aa => representa a área bruta privativa habitacional medida pelo perímetro exterior incluindo varandas, caves e sótãos com utilização idêntica – Coeficiente 1
Ab => representa as áreas brutas dependentes com função não habitacional como garagens arrecadações, instalações para animais, etc… - Coeficiente 0.30
Caj => representa o coeficiente de ajustamento de áreas.
Ac => representa a área do terreno livre até 2x a área de implantação – Coeficiente 0.025
Ad => representa a área do terreno livre que excede o limite de Ac – Coeficiente 0.005